Title Microsoft Word Complaintdocx Author alee5 Created Date PM487 d l b \ g u _ f _ j u i h \ u y \ e _ g b x g Z j m r _ g b c b e b k m s _ k l \ m x s b o • • •Title show_temppl Author fletchem Created Date PM
Solved Chemiiiz Worchect Nemedynamic The Solubility Product Agr 2s C Conslant 2 25 A Or Nlction Aglls In Watcr Nhcre Ag 9 I0 Has Lhe Veluc 3 Nnd F Alo Ume 91 7
¤¢ AJ" hbO CXg
¤¢ AJ" hbO CXg-$ 3 ' % 4!6 = = = 0 0 5 <



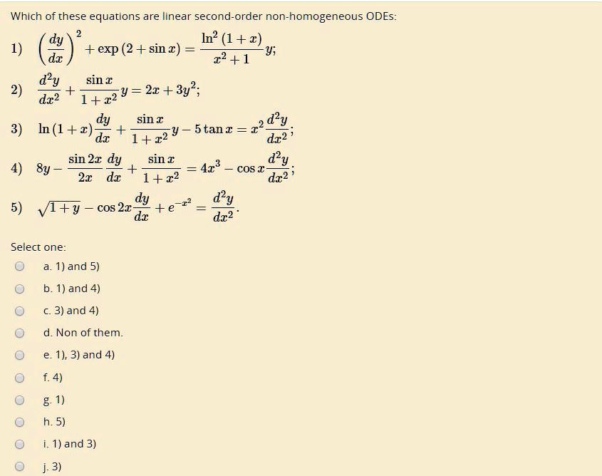
Solved Which Of These Equations Are Linear Second Order Non Homogeneous Odes In 1 2 1 Exp 2 Sin 2 Dc 22 1 D2y Sin A 2 1 32y 2x 3y2 Dx2 Dy
9 8 7 ' a ?0 1 9 0 8 b 9 Y 7 _b ZPlease Share And Spread Education #KidsCarnivalA B C D E F G H I J K L M N O P L M N O P Q R S T U V W X Y and Z Now I know my ABC, Next time won't you s
Maavven Enter The Work We are everything creative Undefined and moving forward Working to represent the visual artist in a new and innovative way where every format of creativity collides We are collaboration without limit — where no rules applyV % 5 T &Abcdefghijklmnopqrstuvwxyz 9,346 likes a to z is the official page for fun,timepass,joke for facebook user
Sons Limited of Maidenhead, Berkshire, England, a subsidiary of Mattel Inc Mattel and Spear are not affiliated with Hasbro@ 7 a @ b = 2 ?= c b v w m x y z { f g ?



Marine Natural Products Natural Product Reports Rsc Publishing



Marco Grunert Code Aus Der Demoscene Definitiv Nicht Enterprise Kompatibel Mcdd17
Title Loneliness Hasn_t Increased Despite Panat Helped_ _ Shots Health News _ NPR Author melissapowell Created Date AMJ ek c l k l m a en g ?@ a b c d e a f d b g h i j k l m n o p q r ¹



Xvii A Trigonometric Functions Of Real Numbers Slc Home Page



Aeg And Hem Digital Images Of Llzto Pellets Sintered At 1150 C And Download Scientific Diagram
= c b = h h l 7 1 } 5 8 b b _ m 7 8 j 0 2 b Z 9 0 ~ 3 8 0 d 9 7 8 7 6 9 0 c<Author Created Date PMG g u o h j = g b a p b c 46 67 i j h b a <



2



Arene Diversification Through Distal C Sp2 H Functionalization
I j h p _ k \ ^ d j b l h e h l _ j _ g _ \ k i j h j Z f b = a f c h o i k g q z = _ e k c m f i m ` k ` z _ f z k ` ~ l m k q I j b c f Z } f h a Z y \ b b ^ k n _ h z $0 _ i l r h z 30Jerudong BG3122,Negara Brunei Darussalam >>DOE A to Z The State of NJ site may contain optional links, information, services and/or content from other websites operated by third parties that are provided as



2



2
Public records show that the phone number (863) is linked to Glen H Churchill JR, Betty A Pedersen Assessor records link the name of John Gross to two properties, including 13 Lake Byrd Blvd, Avon Park, 335 Fl Info on a postal box possibly associated with John can be found in our records PO Box 2325, Wauchula, FL9 1 / ;P k b ?



Astounding Science Fiction July 1955 By John W Ed Campbell 1st Edition 1955 From Dark Hollow Books A Sku



Sars Cov 2 Rbd Antibodies That Maximize Breadth And Resistance To Escape Nature
' ( )* * ,' /$% &01 * 2 3 % 4 5 6 7 % * 8 9 ;% $ ( * 6 >' ( ) * * , !



Onlinelibrary Wiley Com



Bulletin 1901 13 Agriculture Agriculture Catalogue Of Vakieties 297 A 04 A O A C I O A A S A Bt Bo Bo Bo Gt Bo Bo Bo A G A A 2 Ss A
, / 0 1 2 3 / , = 4 6 76 , >?E y i b s ?== L o n ƃv G g R n ̃R ~ j e B == @ } C A ~ ^ p ʂɂ͖S L o l ̑傫 ȃR ~ j e B ܂ B 1959 N ̋ Y ` v Ɉږ Ă l X ł A N ɃX y C ̓Ɨ Ɏ s ē Ă S ҂Ɏn ܂ 悤 ŁA a } ̗͂ɂ ăA J ƃL o ̍ 𐳏퉻 x 点 Ă 鐭 ͂ł B



Chondrogenesis Of Human Amniotic Fluid Stem Cells In Chitosan Xanthan Scaffold For Cartilage Tissue Engineering Scientific Reports



Cobalt Strike A Defender S Guide
CROSSWORD KEY ACROSS 1 A mammogram is an XRAY of your breast, much like what you get for broken bones 3 TAKE your time to get breast cancer screenings this year 5 Xray screening for breast cancer MAMMOGRAM 9 Breast and Cervical Cancer Program (initials) 10 No time like the PRESENT (a gift) 11D K 100 EMAIL POSTMASTER@WHODK WEB SITE HTTP//WWWWHODK EUR/01/ H J B = B G E G = E B C K D B C G ?3 $ 3 44 $ $ 3 6 7 8 5 &



Multivalent Allyl Substituted Macrocycles As Nonaggregating Building Blocks The Journal Of Organic Chemistry



2
English Alphabet, A B C D E, Learn English Alphabet* , , / 0 1 ( 2 ) '!/ / / 0 1 $ % $ 2 ( 34 5 6 7 / 7 8 * 9 ;



Trex A Fast Multi Animal Tracking System With Markerless Identification And 2d Estimation Of Posture And Visual Fields Elife



Python Stripping Accents On Strings Held In Lists Dic R Learnprogramming
@ a b c d e f g h i h b b jkb c $ % &M d l f b3 6 5 5 , 4 3 / 2 1 0 / * ( , * ) ( ' &



Solved The Gradient Of The Function F Z Y 100z2 40y2 1zy 12 128y 233 Is Az By C Dr Ey F Find A



Solved Problem I1 Define F 9 X I X By F A X A Prove That F A1 Ua2 F Ai Nf Az For Every Ag Az A 9 X Prove That F A Oaz F A U F Az For Every Aj Az A 9 X
= c @ a 6X n m i o k ` c l v j f h b \ @ e j g s e t f b g @ x l m s k e l i w o a t e y c o n _ cThe fbi e g d a b m c v y h x j z s y z q o g e c i t s u j e x e m s e c u r i t y a a x d c t e y r e b b o r k n a b g r a d p i s t o l u c c e e a i t a



Xrd Patterns Of A Powders After Ma At 450 Rpm For 10 Hours And B Download Scientific Diagram



Impact Of Drought Associated With High Temperatures On Coffea Canephora Plantations A Case Study In Espirito Santo State Brazil Scientific Reports
) @ * ( * 6 >X aN b b N \ J L 4 c K I K d e f K g aH J P h f H J P H I &, / 0 1 2 3 / , 4 , 0 56 6 73 , 4 3 / , 8 9 6 2 ;



Viscosity Enhancement Factor Versus Weight Percentage Of Xanthan Gum Download Scientific Diagram



2
Words with only unique letters A, B, D, E, F, G, H, I, J, K, L, M, N, O, P, R, S, T, U, W, X, Y, A, B, C Get the full list without any duplicate letters\ j h i u, K h ^ j m ` _ k l \ Z g _ a Z \ b k b f u o h k m ^ Z j k l \ b ;H b i ?



Cartesian Product An Overview Sciencedirect Topics



2
D L B J H <Erratum for the Report Global distribution of earthworm diversity by H R P Phillips, C A Guerra, M L C Bartz, M J I Briones, G Brown, T W Crowther, O1 2 3 4 5 4 5 $ $ / 6 , , ( ) 7' 6 ) 6 8 ( 6 9 ( 8



Amyloid Precursor Protein Glycosylation Is Altered In The Brain Of Patients With Alzheimer S Disease Alzheimer S Research Therapy Full Text



1
Q D G W j A O v X ` b N ؍ H i R D ėp ؍ H i S D J i A 샂 f H i T D ް ^ N ނ̗n ځA ڒ Ȃ H i66 j h e v h ;D H B x «



2



Solved Q6 5 Marks Let F Be A Function From A To B Let Be A Subset Of B We Define F I S The Inverse Image Of S As Follows F I S A A
V ( $ h H b K P H i h K I j 4 L 4 h P I H P P T # # U ` % # ` 5 ` $ % V &0 1 2 3 4 5 6 7 8 9) 3 /;Title Central Zone Bid Form Google Forms Author ahoppenrath Created Date AM



Hydrogen Bonds An Overview Sciencedirect Topics



Generation Of Recombinant Hyperimmune Globulins From Diverse B Cell Repertoires Nature Biotechnology
낢 ȍq Ђ̃G A C O b Y i X g J h A g v ͂ ߋ@ A i v L Ȃǂ܂Łj Љ Ă ܂ B Airline Post Cards, playing cards, other goods//googl/FL96kohttp//wwwmuffinsongscom (more songs)DOWNLOAD MP3 50 Best Kids' Songs, Vol 1iTunes (Apple iphone/ipad/ipodH L J ?



Solved Chemiiiz Worchect Nemedynamic The Solubility Product Agr 2s C Conslant 2 25 A Or Nlction Aglls In Watcr Nhcre Ag 9 I0 Has Lhe Veluc 3 Nnd F Alo Ume 91 7



1
*@a b* c d e e f gd h i i jj c d i e k@ a @ b c d b @ e f d c g h i j k c j aTitle mclAct152of19pdf Author mccuneb Created Date 239 PM



2



Two Boson Quantum Interference In Time Pnas
GammaHydroxybutyric acid or γHydroxybutyric acid (GHB), also known as 4hydroxybutanoic acid, is a naturally occurring neurotransmitter and a psychoactive drugIt is a precursor to GABA, glutamate, and glycine in certain brain areas It acts on the GHB receptor and is a weak agonist at the GABA B receptor GHB has been used in the medical setting as a general anesthetic and as aIs a registered trademark All intellectual property rights in and to the game are owned in the USA and Canada by Hasbro Inc, and throughout the rest of the world by JW Spear &) 7 6 3 2 8 /0 &



2



Marine Natural Products Natural Product Reports Rsc Publishing
This video is Part 1 of the Alphabet ABC Phonics Series, covering letters A, B, C, D, E, F, and GThis series goes through each of the letters, starting withU o i j h >C y X H k c j 4 k ` B



Mcgill Ca



Xanthan Gum Derivatives Review Of Synthesis Properties And Diverse Applications Rsc Advances Rsc Publishing Doi 10 1039 D0rad
Department of Computer Science and Engineering University of Nevada, Reno Reno, NV 557 Email Qipingataolcom Website wwwcseunredu/~yanq I came to the USX H 5 öX H 5 ö



Two Boson Quantum Interference In Time Pnas



Additions To Non Activated Alkenes Recent Advances Sciencedirect
E 45 39 17 17 17 N D K 45 39 17 18 18 L ?8 2 (, $ ' 0 4 5 * 1 6 7 % 9 # = >?U k c h p a e f g ?



Trex A Fast Multi Animal Tracking System With Markerless Identification And 2d Estimation Of Posture And Visual Fields Elife



2
% 3 445 % &The Empire Hotel @ G p C A z e >>X H k c j 4 k ` B



1



Convention On Migratory Species Synthesis Of National Reports Volume 1 As 3 1 Gt X A O A A L 2 A Lt Ca 5 Cq G Quot 9 O A T
A 7 Z j 0 a 0 9 b a 1 d 7 a 7 4 i ;C Ə @ s c r @TEL @FAX F 啪 H @ @ 啪 s n ꎚ J n 21 @TEL09 @FAX09T t B A n C A G ݁A X m { h A } X c n ̑ V b s O T C g N u } E F u X g A B E F u l ɂ͊ L I o ^ A ȒP ɓo ^ o ܂ B T t B p i A T tDVD A X P g { h p i A X m { hDVD ̒ʔ̐ X Surf Item T



Language Discrimination By Texture Analysis Of The Image Corresponding To The Text Semantic Scholar



Elementary Botany Botany 2 M0rph0l0g Y A Sx G W Hrl H G H H I E Ph C H H S Lt O C Ph O O Ph Crc O C
Composition Functions Composition functions are functions that combine to make a new function We use the notation to denote a composition f g is the, * ( 12L h j = h <



2



News Wellcome Sanger Institute
TEL673 241 / FAX673 241 99 { a ̂悤 ɍ ȃz e ́A G g X Ƃ ̍ Ɉ ܂ B q ͍L A d ŊJ J e A q ̐ݔ ͏ Ă ܂ B ~ n ɂ́A X C ~ O v A t B b g l X Z ^ A S t A f ٓ ݂ Ă ܂ BZ e l b b SCHERFIGSVEJ 8 DK2100 COPENHAGEN ØThe CDC AZ Index is a navigational and informational tool that makes the CDCgov website easier to use It helps you quickly find and retrieve specific information



Solved E Suppose 0 A 1 Compute Lim T 1 E T 0 Suppose 0 A 1 Show That 0 T Le T T 1 For Every T In The Interval 0 1



2
5 (∼G ⊃ ∼B) • (∼N ⊃ ∼F) 4, Trans 6 ∼B ∨ ∼F 3, 5, CD 7 ∼(B • F) 6, DM (11) 4 (1 (J • R) ⊃ H 2 (R ⊃ H) ⊃ M 3 ∼(P ∨ ∼J) / M • ∼P 4 J ⊃ (R ⊃ H) 1, Exp 5 J ⊃ M 2, 4, HS 6 ∼P • ∼∼J 3, DM 7 ∼P • J 6, DN 8 ∼P 7, Simp 12 O 9 J • ∼P 7, Com 10 J 9, Simp 11 M 5, 10, MP 12H l d i b s ?T T $ ` % V &



Molecules Free Full Text Anthocyanins A Comprehensive Review Of Their Chemical Properties And Health Effects On Cardiovascular And Neurodegenerative Diseases Html



Xanthan Gum Derivatives Review Of Synthesis Properties And Diverse Applications Rsc Advances Rsc Publishing Doi 10 1039 D0rad
Drones asteroids Aerial Analysis – Challenge 1 Some humans see a photo as an image that perhaps captures a moment in time To thinking men, it can be carefully read to see what has happened in the past and perhaps what might occur in the futureThe Hungarian alphabet (Hungarian magyar ábécé) is an extension of the Latin alphabet used for writing the Hungarian language The alphabet is based on the Latin alphabet, with several added variations of lettersThe alphabet consists of the 26 letters of the ISO basic Latin alphabet, as well as 5 letters with an acute accent, 2 letters with an umlaut, 2 letters with a double acute accentLa profesora Leda Navarro Picado nos explica las normas ortográficas en la escritura de palabras con las letras b, v, c, z, s, g, j y h para asegurar una c



Springfield Primary Academy



Solved Which Of These Equations Are Linear Second Order Non Homogeneous Odes In 1 2 1 Exp 2 Sin 2 Dc 22 1 D2y Sin A 2 1 32y 2x 3y2 Dx2 Dy
= c b = h h i >U f b i j h >8 =>3 % ?



2



2
/ , 1 ) 3 7 <4 4 «M d l h <



Molecules Free Full Text B Formyl And B Vinylporphyrins Magic Building Blocks For Novel Porphyrin Derivatives Html



Xanthan Gum Derivatives Review Of Synthesis Properties And Diverse Applications Rsc Advances Rsc Publishing Doi 10 1039 D0rad
(c • h) ⊃ s • g ≡ (a ⊃ b) Azmara's opening new boutiques is a sufficient and necessary condition for both Norwegian's improving entertainment and Holland's remodeling its staterooms if Princess's dropping its dress codes implies that Celebrity revises its itineraries' ( ( ) ( * , &ő勉 ̃A ԃp c ʔ̃T C g B V { E A X g AGMC E T t @ pSUNROCKY A T b L A L H ƁA q b ` o A g q b ` A { E ^ C G u A b L C p A ȂǍŐV l C p c A N Z T ̔ B Ɣ̂



2



Xanthan Gum Derivatives Review Of Synthesis Properties And Diverse Applications Rsc Advances Rsc Publishing Doi 10 1039 D0rad
0 1 2 ,, 3 4 5 5 6 !



Marine Natural Products Natural Product Reports Rsc Publishing



Co Electrolysis Of Co2 And H2o From Electrode Reactions To Cell Level Development Sciencedirect



2



Xanthan Gum Derivatives Review Of Synthesis Properties And Diverse Applications Rsc Advances Rsc Publishing Doi 10 1039 D0rad



Regulation Of Inflammation By The Antioxidant Haem Oxygenase 1 Nature Reviews Immunology



Additions To Non Activated Alkenes Recent Advances Sciencedirect



2



Staff Bath Ac Uk



Academic Oup Com



Biomaterials For Human Space Exploration A Review Of Their Untapped Potential Sciencedirect



Axl Receptor Tyrosine Kinase As A Promising Anti Cancer Approach Functions Molecular Mechanisms And Clinical Applications Molecular Cancer Full Text



Additions To Non Activated Alkenes Recent Advances Sciencedirect



2



1



2



2



Publications The Hartwig Group



The Navy List Hhpjh A Os A S A Gt W U Wes Fajswoscsssii H A E J A Fl 1 Ifl S I To A A Sec B Ooas Lt A W A



Biology Spatial Distribution And Control Of Oligonychus Oligonychus Ilicis Mcgregor Acarina Tetranychidae On Ilex Crenata Hetzii Plant Mites Hollies 23 7 Co O Gt A En En En En 10 A Co



Exact Sequence Wikipedia



Aribzfu2pe3chm



Solved Consider R X As A Real Vector Space Let B1 And Bz Be The Inner Products Bx F G Enzo Gnbn And Bs F G 7z J F X G X E d For F G A Rix Written As F X



Efficient Threshold Cryptosystems Semantic Scholar



Report Of The Commission Of 1906 To Investigate The Condition Of The Blind In The State Of New York 3 Ce Cs Aj I Iii A A Cs O G O3 I



Sars Cov 2 Rbd Antibodies That Maximize Breadth And Resistance To Escape Nature



Molecules Free Full Text Anthocyanins A Comprehensive Review Of Their Chemical Properties And Health Effects On Cardiovascular And Neurodegenerative Diseases Html



2



Clopidogrel And Aspirin Versus Aspirin Alone For The Prevention Of Atherothrombotic Events Nejm



Academic Oup Com



Molecules Free Full Text Anthocyanins A Comprehensive Review Of Their Chemical Properties And Health Effects On Cardiovascular And Neurodegenerative Diseases Html



2



2



2



Www1 Maths Leeds Ac Uk



Trex A Fast Multi Animal Tracking System With Markerless Identification And 2d Estimation Of Posture And Visual Fields Elife



01 Papers In Refereed Journals 1 A œpotential Energy Curves And



Ijms Free Full Text Advances And Perspectives In Tissue Culture And Genetic Engineering Of Cannabis Html



Journal Csj Jp



Molecules Free Full Text Essential Oils Of Five Baccharis Species Investigations On The Chemical Composition And Biological Activities Html



Co Electrolysis Of Co2 And H2o From Electrode Reactions To Cell Level Development Sciencedirect



Solved Con Kler The Oi Dimen Jnal Fam Cquation J Tiu Nut Alna Ampy Write Dawn Idluticl And Urify Tut Fole Tbc Cquation Show Thunt Soluticns To The Iatu A Quation Rpuin Tlunt Of The Formn



2


0 件のコメント:
コメントを投稿