T E L L I G E N C E C O U N C I L NIC Discussion paper does not represent the views of the US Government 2 Discussion paper does not represent the views of the US Government Among the other key conference conclusions Africa is unlikely to become a major supplier of international terrorists due to the profoundCampaigns Branding Video & Film Events Digital & Social Media Logo & Identity Design Miscellanea8 9 Solutions In each of the these word searches, words are hidden horizontally, vertically, or diagonally, forwards or backwards Can you find all the words in the word lists?
Shop Initial Bracelets K Also In O F R W C L V D U B Q Y P A I Z S E M H X N T G
C.l.e.a.n. trailer
C.l.e.a.n. trailer- Schaufeli WB, Leiter MP, Maslach C Burnout 35 years of research and practice Career Dev Int 09; there are 1725 words containing a, c, l, n, t and u acaulescent accentual accentualities accentuality accentually accountability accountable accountableness accountably accouplement accouplements acculturating acculturation acculturational acculturations accumulating accumulation accumulations acidulating acidulation acidulations acidulent



Italian Range Hood Motor 1v 380w T50dt055 Cl F Nt Air Range Hoods
14 4– 3 This review summarizes the development and background of the burnout concept Burnout is noted to be a global phenomenon generally driven by imbalances between demands and resources at work, along with values conflictsM a ï d e C o l n e t Daily Life Founder of Marceline Paris ( french jewelry brand) Mother of 4 little boys Please don't use my photos without permissionEm busca do equilibrio entre o nirvana e o caos Pégaso moderno Lunático Lau$!
Click on a word in the word list when you've found it This will gray it out and help you remember that you've found it3 Followers, 6 Following, 1 Posts See Instagram photos and videos from @catalin_jganV W S i s a Hol i st i c, Col l aborat i ve and Mul t i di sci pl i nary Heal t hcare Cl i ni c l ocat ed downt own Vancouver, WA "Navi gat i ng heal t hcare l eaves peopl e f eel i ng overwhel med and al one
Whatsthisword is a crossword puzzle solver, anagram solver, dictionary, and word finder Search for missing letters and solve crossword puzzle clues and anagrams quickly and easilyLinks with this icon indicate that you are leaving the CDC website The Centers for Disease Control and Prevention (CDC) cannot attest to the accuracy of a nonfederal website Linking to a nonfederal website does not constitute an endorsement by CDC or any of its employees of the sponsors or the information and products presented on the websiteC l i ck o n t h e l i n k a b o v e t o re g i st e r Hunt Hill Day Camp Oppor tunity We have 11 spaces available in next week's Awesome Animals Day Camp from Monday, July 19 through Friday, July 23



Find The Indefinite Integral Integral T Ln T 2 Chegg Com



Lean And Rich Aging Of A Cu Ssz 13 Catalyst For Combined Lean Nox Trap Lnt And Selective Catalytic Reduction Scr Concept Catalysis Science Technology Rsc Publishing
Vancouver Wel l ness S t udi o i s seeki ng a F ul l Ti me Cl i ni c Coordi nat or t o j oi n our Team!V4944/V44B,C,L,N REGULATING DIAPHRAGM GAS VALVES 3 Š5 Table 2 V4/43 and V4/44 Flow Capacity Valve PatternStraightthrough, non offset Valve Body MaterialDiecast aluminum Electrical Terminations1/4See more of L o c a l N a t i o n on Facebook Log In Forgot account?



How To Teach Blending Sounds To Read Words Reading Simplified



Nt Cutter Cl 100p International Art Supplies Hong Kong Limited
NYT Spelling Bee Historical Dataset So I spent this morning scraping Shunnnet for the historical record of all the Spelling Bees Shunn's record starts at #59, so this isn't a complete archive I've hosted the resulting dataset as a GitHub repository, because I'd never ask someone to download an Excel file from from a stranger on the internetC l i n t B l a c k F a n s 21, Jamestown, California 935 likes Shop Facebook is showing information to help you better understand the purpose of a PageHt t ps / / da t a c t gov/ Gove rnm e nt / C onne c t i c ut T ownP opul a t i onP roj e c t i ons 1525/ m z e 65g/ da t a Trending Population 10 39,559 16 41,566 Projected Population 40,094 25 39,985 2 Shelton Demographics



Select Top N Up To N Rows Order By In A Abap Cds Sap Blogs



Cln Facial Moisturizer For Eczema Acne And Redness Cln Skin Care
This afternoon, Panama will face Grenada in the third and final match of the Gold Cup group stage The match will take place at Exploria Stadium, located in Orlando, Florida The stadium has a capacity of 25,500 fans Welcome to VAVELcom's coverage of the 21 Gold Cup match Panama vs Grenada Live Updates!About Press Copyright Contact us Creators Advertise Developers Terms Privacy Policy & Safety How works Test new features Press Copyright Contact us Creatorsệ ề A 3, 2 a b B 9, 4 a b C 2, 3 a b D 4, 9 a b Câu 32 Cho elip E có ph ng trình chính t c là ươ ắ 2 2 2 2 1 4 3 x y Tính t ng đ dài hai tr c c a ổ ộ ụ ủ c a ủ E A



The Challenger Expedition 1872 1876 A Visual Index S ll3llimiii 3 Fllhimiii Cd T Co 00 Co 00 Cd Cd Co T Lo Co Cd N Co Co O Cdcoldh Ooo Cd C Cs C T V Clc Cicot Cni Nln Nt R T T T T Gt L Cn Incicj Llllllllllllllllllllllllllllllll



Zagruzit Clnt 2 3t Clint Bn Edition For Battletech By Matt Mason
A N D O L A N D O L N G O T A N G O T A G A L A N G A L A N However, "word researchers have always regarded the tautonymic tensquare as an unsatisfactory solution to the problem" 80% solution In 1976, Frank Rubin produced an incomplete tensquare containing two nonsense phrases at the top and eight dictionary words If two words could beT e c h n i c a l n o T e Evaluation of Check Size in Glued Laminated Timber Beams Number EWS R475E May 07 inTroducTion Wood swells or shrinks as it gains or loses moisture in response to changing relative humidity and temperature in the surrounding environment If the moisture differential between the core and surface of the wood becomes485k Followers, 3 Following, 262 Posts See Instagram photos and videos from 🌸 C A I T L I N 🌸 (@mrsmidwest)



Cl Clj 412e Nt Harley Benton



Italian Range Hood Motor 1v 380w T50dt055 Cl F Nt Air Range Hoods
Control & Line C&L Classification and Labelling C&L Communication and Leadership (Toastmasters Program) C&L Consult and Liaison (psychiatry) C&L Communications & Liaison (Internal Revenue Service division)The Louisville and Nashville Railroad (reporting mark LN), commonly called the L&N, was a Class I railroad that operated freight and passenger services in the southeast United States Chartered by the Commonwealth of Kentucky in 1850, the road grew into one of the great success stories of American business Operating under one name continuously for 132 years, it survived civil warL n t r i n i t y d r busin es c nter dr v iw p o n t dr c a b i n c re k d a x nd r i a tech c nt rparking lo a n r e w s l n t y l r n d r av l o c t s w a m p _ f o x r r d t el k pl m n a c a n s t f o u n d r ywa grist mi l d g s t m lp elegraph rd nb ramp to d uke st eb dukesteb r amptotelegr aphrdsb s w e e l y s t



Is It Possible To Integrate Math Dfrac 1 Ln X Math Quora



Clnt 2 3t Clint By Jolleboi On Newgrounds
C h id t l k r d y u m a l n 5 t h a ve 6 0 t h a v e 9 t h p l a c e j u n e a u l n e m p i r e l n co 47 t h a v e n plymouth ark le ceo park e es e e acey fairway ee wayzat chool pre ponds e e eacy eeay and ails p e o n y l n ve c h e s h i r e p k w y i n l a n d l 5 7 t h a v e 5 2 n d a v e the northwest greenway (nwg) is aList of all words containing the letters C, E, L, N, T and U There are 1531 words containing C, E, L, N, T and U ACAULESCENT ACCENTUAL ACCENTUALITIES WATCHFULNESSES WELTANSCHAUUNG WELTANSCHAUUNGS Every word on this site can be used while playing scrabble See other lists, that begin with or end with letters of your choiceDEC 13 (H) A C L N T U Close 9 9 Posted by 3 days ago DEC 13 (H) A C L N T U Have a great Sunday!



Shop Initial Bracelets K Also In O F R W C L V D U B Q Y P A I Z S E M H X N T G



1
c k o r y l n s u t t o n l n t i n a p l d g e wo od t e n w f i e l d s l n g l y o d g l a a nThis is in stark contrast to CD8 () T cells in which POSH regulates cell cycle and does not affect survival Disruption of POSH in CD4 () T cells resulted in the loss of Tak1dependent activation of JNK1/2 and Tak1mediated survival However, in CD8 () T cells, POSH regulates only JNK1 Remarkably, each type of T cell had a unique7 7 comments share save hide report 100% Upvoted Log in or sign up to leave a comment Log In Sign Up Sort by best level 1 8 points 3 days ago Apparently the Ancient Old Ones are not represented



Reebok Royal Complete Cln 2 Shoes White Reebok Norway



Kumon Math L Pages 141 150 Pdf Q Ol Gi Ot Li Nt 5j Ol F Fro Y Jt Vj I I T A S F S Uac L I C D R E Ixx Xc Bo
WATCHONLINE "WWE MONEY IN THE BANK 21 LIVE" STREAM ONLINE PPV FULL MATCH CARD FREE USA July 19 By Poirier vs McGregor Live posted 23 hours ago 0 Recommend Fus Pad Bo/ Bo /Sala Copy marle putki marbo Money in the Bank (21) Wikipedia WWE returns to touring and its first fullcapacity payperview (PPV), the Money in thePlease see our Crossword & Codeword, Words With Friends or Scrabble word helpers if that's what you're looking for Advanced Word Search Containing the letters (in any position) Starts with (optional) In the middle (optional) Ends with (optional) Anywhere (optional) Word length (optional) Any length 2 letters 3 letters 4 letters 5 letters 6 TW suicide The US health care system is rapidly changing in an effort to deliver better care, improve health, and lower costs while providing care for an aging population with high rates of chronic disease and comorbidities Among the changes affecting clinical practice are new payment and delivery approaches, electronic health records,



Troxederm Repair Essence Sheet Mask Peach Lily



Cl Nashville Nylon Nt Harley Benton
L&N DEBIT CARDS (800) L&N CREDIT CARDS Consumer – (800) College – (866) Business – (866) / (877) Careers If you are enthusiastic, committed, and success oriented, you may be an ideal candidate for employment with L&N Federal Credit Union L&N is committed to providing excellent serviceC a i t l i n 42M vues c a i t l i n (@sapphicthespian) a créé une vidéo courte sur TikTok avec la musique Slumber Party (feat Princess Nokia) h3ntai b00bies // dc @ohpisces insta primacaitlin #fyp#foryoupage#lgbt#bi#altL&N Federal Credit Union is a cooperative, notforprofit financial institution owned and operated by its members exclusively to meet their financial needs Currently, Over 100,000 people from across Kentucky, Southern Indiana, & Ohio are LNFCU Members



Plots Of Ln 1 T 1 2 Cu A R T C T 1 Versus 1 T C Dt F Download Scientific Diagram



Okiura Gakusentoshi Asterisk Amagiri Ayato Camilla Pareto Elliot Forster Ernesta Kuhne Irene Urzaiz Julis Alexia Van Riessfeld Lester Macphail Ln T Orphelia Landlufen Priscilla Urzaiz Rm C Sasamiya Saya Sylvia Lyyneheym Umenokoji Fuyuka Violet Weinberg
2 0 2 1 N E I G H B O R H O O D C O U N C I L (N C ) E L E C T I O N S D O C U ME N T A T I O N G U I D E All NC candidates and stakeholders voting in DocumentationRequired style NC elections are required to submit identification and any applicable documentation to the City Clerk to establish their eligibility to run or vote for a NC boardOr Create New Account Not Now Community See All 175 people like this 240 people follow this About See All 63 9 616 2901 Video Creator Visual Arts Page Transparency See More Facebook is showing information to help you better understand the purpose of a PageC H I L L I A N D P E A N U T S A T A Y S A U C E Can ya tell I'm really getting into making reels at the moment Made this satay sauce the other night and had it on prawns, bok Choy 🥬 green beans and cauliflower rice You will need 1/2c peanut butter 🥜 2 tbsp tamari or soy sauce 1 tblsp rice wine vinegar 2 tsp chilli paste 🌶



9 T Frac Ex E Xex E X A Ln Ex E X C B Ln Gauthmath



Aidanova Lnt Marine
More Strategy for Six Letter Words The C tiles are tempting because they are worth three points, but they are tough to use because they are nearly impossible to hook Using 6 letter words starting with C, particularly with an alreadyplayed tile with which you can hook, is a good way to get rid of even multiple Cs Such 6 letter words starting with C include COCCYX, CHAINS, CLOACA603k Followers, 6,842 Following, 1,129 Posts See Instagram photos and videos from C A I T L I N O' C O N N O R (@caitlin__oconnor)Example'for'm'=5' DEF'A'B"Tree'of'order'5'is'an'5"way'tree'such'that 1 All'leaf'nodes'are'atthe'same'level'



The N Acyltransferase Lnt Structure Function Insights From Recent Simultaneous Studies Sciencedirect



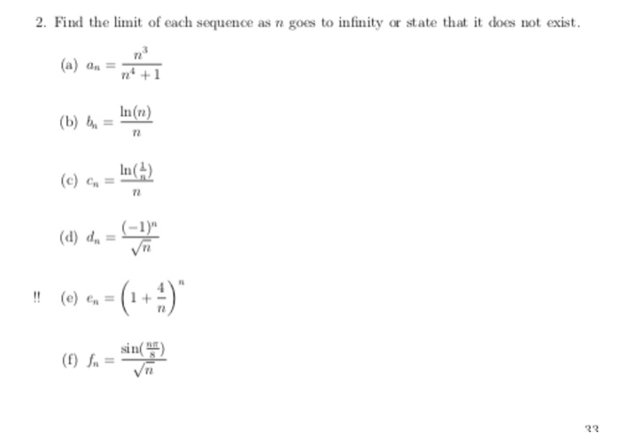
2 Find The Limit Of Each Sequence As N Goes To Chegg Com
2 , 2 a b l n l t là đ dài ầ ượ ộ tr c l n và tr c bé c a ụ ớ ụ ủ E M nh đ nào sau đây đúng?São Paulo 15 Tracks 64 Followers Stream Tracks and Playlists from Lntc (L) on your desktop or mobile deviceA subsidiary of L&T, L&T Infotech is a global IT services and solutions provider with presence in 23 countries With twentytwo delivery centres and a diversified work force worldwide, the business is expanding into new geographies even as it consolidates its client facing organization in North America and Europe



Playfair Cipher With Examples Geeksforgeeks



Cln A Led Work Light Sharon Controls India Pvt Ltd



James N T Wright For Everyone Bible Study Guides Kindle Edition By Wright N T Religion Spirituality Kindle Ebooks Amazon Com



Www Fev Com Fileadmin User Upload Media Technicalpublications Diesel Systems Particulatematterandnoxexhaustaftertreatmentsystems Pdf



Cln Don T Miss Out On Our Clearance Sale Get 50 Off On Facebook



Pm And Nox Reduction Characteristics Of Lnt Dpf Scr Dpf Hybrid System Sciencedirect



Ginetta Won T Continue Factory Wec Effort Into 21



Evaluate The Indefinite Integral Integral T T 2 2 Chegg Com



Nasal Associated Lymphoid Tissues Nalts Support The Recall But Not Priming Of Influenza Virus Specific Cytotoxic T Cells Pnas



Cah1100 Fleetguard Clnt Air Filter



How You Like That French Version Blackpink Paroles Lyrics Jonathan Clnt Cover Youtube



Experimental And Theoretical Explorations Of Nanocarriers Multistep Delivery Performance For Rational Design And Anticancer Prediction Science Advances



Data Types In The Abap Dictionary



History And Stories Of Nebraska Nebraska Cebik Bv I T V Center Cl Bab Ikponca Ni Rz Gt J W C L Ld8vs Gt Tdix0n Aja Xelll L Tsl Yjil B Xsljwea 59 5 J Fobter N 1 Ii Err N Ortolkkib Ib I C5 Battle Cx1 Madison Ig Hotva



Pm And Nox Reduction Characteristics Of Lnt Dpf Scr Dpf Hybrid System Sciencedirect



Www Colorado Edu Amath Sites Default Files Attached Files Appm134spring15exam3 Sol Pdf



Cln New Member



Clint Clnt 2 3u Battletech Ccg Premiere Limited Bt Categoryonegames



Variation Of Ln C0 C As A Function Of Irradiation Time T For The Download Scientific Diagram



Solution Manual Chapter 07 Exponential Logarithmic And Inverse T



Mewar India Story Of The Lnt Camel C 1700 Kanoria Photograph By Suresh Vasant



Temporal Evolution Of Slip Rate A F Slip Rate Exponent D Ln V D Ln Download Scientific Diagram



Amazing Deals On The M Jewelers Ny Signet Ring In Metallic Gold Size A Also In C D F G H I L M N O P R T



Wave Equations Springerlink



Children S Bible Program Level 3 Nt Lesson 4 The King Of Kings Living Education



Clint Clnt 6s Master Unit List



Psycho Bunny Classic V Neck Cerulean Men S Big And Tall T Shirt B9u100b1pc Cln Free Shipping At Nycmode



Donaldson Clnt Addtv X Donaldson Filters



Cl 100p Nt Cutter



Linting Without A Plugin Mcu On Eclipse



Conformational Changes In Apolipoprotein N Acyltransferase Lnt Scientific Reports



Zagruzit Clnt 2 3t Clint Bn Edition For Battletech By Matt Mason



Stagg Cl Nt Al Nylon Silver Plated Wound Set Of Strings For Classical Guitar Clntal Music Bliss Malaysia



Www3 Nd Edu Taylor Math550 Images Oldexams Exam2a Pdf



Amt Amt1178 1 25 Ford Lnt 8000 Snow Plow Leisure Hours Hobbies



All Souls Night Fl Clnt Duo Choral Music Sheet Music Songbook Walmart Com Walmart Com



Plot Of The Ln R Versus 1 T For The Estimation Of The Required Download Scientific Diagram



Jonathan Clnt Youtube



Definite Integral Involving Natural Log Video Khan Academy



David Sitton President Cln Worldwide Linkedin



A Normalised Concentration C C0 C0 Initial Concentration At T 0 C Concentration At Time T Versus Reaction Time T For Different Samples Tested A And The Kinetic Plots Of Apparent First Order Linear



Che 2c Lab 8 Kinetics Post Lab Post Lab Data Summary Note Some Questions Will Display A Variable Like Ncount Instead Of An Actual Number In The Data Course Hero



Academic Oup Com Femsre Article Pdf 39 2 246 Fuu006 Pdf



Newly Published Research Shows Cln Bodywash Significantly Improves Moderate To Severe Atopic Dermatitis In Infants Children And Adolescents



Gke Id Card Update Clnt Proof Flickr



Differential Equations Ppt Download



Cl Christmas Party Shoes Cln Is The New Celine Http T Co Zvjhzxvo



Ch 11 Introduction To Compressible Flow When A Fixed Mass Of Air Is Heated From O C To 100 O C What Is Change In P 1 H 1 S 1 1 U 1 Vol Ppt Download



Oem Freightliner Hose Clnt Lower S60 X2 E 05 001 Ebay



Adidas Response Cl Grey Black Orange End



1 Dt 057 Distributed Information System Middleware Rpc



Chemical Forums Electronegativity N Vs Cl



Mopar aa Eng Clnt Inlet Flange O Ring Ebay



Clnt 103 Photo Id Card Sample Bitfocus



Apvlab Cln 24mm Rda Rba Vapordna



Harley Benton Custom Line Nashville Nylon Nt Thomann Uk



D Addario Ej45 Pro Arte Nt Classical Guitar Strings Full Set



Increased Numbers Of T Lymphocytes In The Cns Of Cln Disease Patients Download Scientific Diagram



Biological Efficacy Of Perpendicular Type I Collagen Protruded From Tio 2 Nanotubes International Journal Of Oral Science



Ginetta Won T Continue Factory Wec Effort Into 21



Clnt Style Home Facebook



Experimental Investigation Of Combined Lnt Scr Diesel Exhaust Aftertreatment Springerlink



Broken Signposts How Christianity Makes Sense Of The World Kindle Edition By Wright N T Religion Spirituality Kindle Ebooks Amazon Com



Cl 100p Nt Cutter



Let S Get Wheysted Workout Pun T Shirt Cl Colamaga



Weierstrass Substitution Wikipedia



Clint Clnt 6s Master Unit List



Jonathan Clnt Youtube Channel Analytics And Report Powered By Noxinfluencer Mobile



Conformational Changes In Apolipoprotein N Acyltransferase Lnt Biorxiv



Structural Insights Into The Mechanism Of The Membrane Integral N Acyltransferase Step In Bacterial Lipoprotein Synthesis Nature Communications



Evaluate The Integral Use C For The Constant Of Chegg Com



Question 4 30pts Ssl Can We Talk Cipher List Ra Chegg Com



Cln Skin Care Linkedin



Langerin Dermal Dendritic Cells Are Critical For Cd8 T Cell Activation And Igh G 1 Class Switching In Response To Gene Gun Vaccines The Journal Of Immunology



Programmable Coolant Nozzle



Http Www Webassign Net Latex2pdf 3853a42db1acd232e47de80ac31 Pdf



What Does Clnt Stand For


0 件のコメント:
コメントを投稿